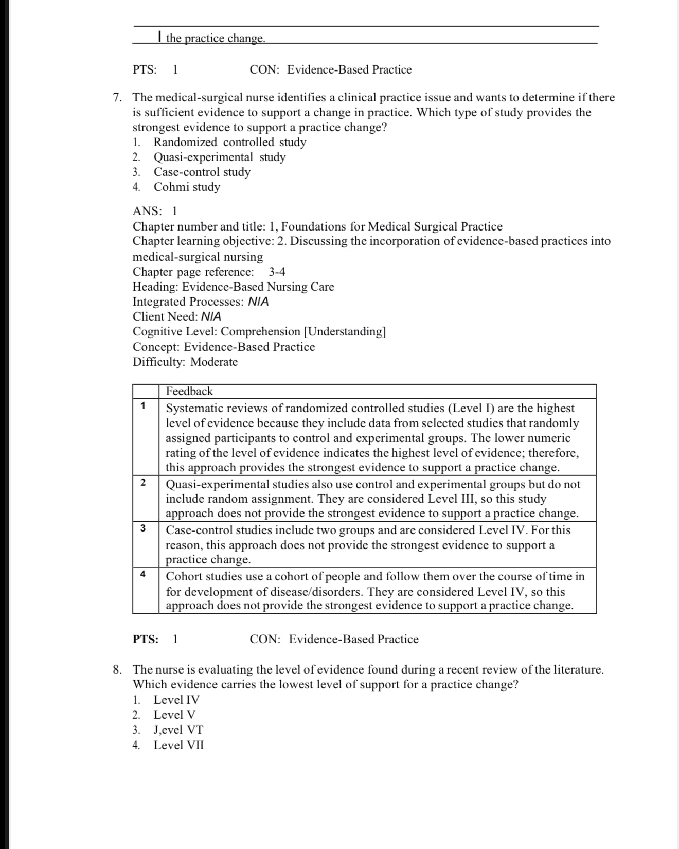
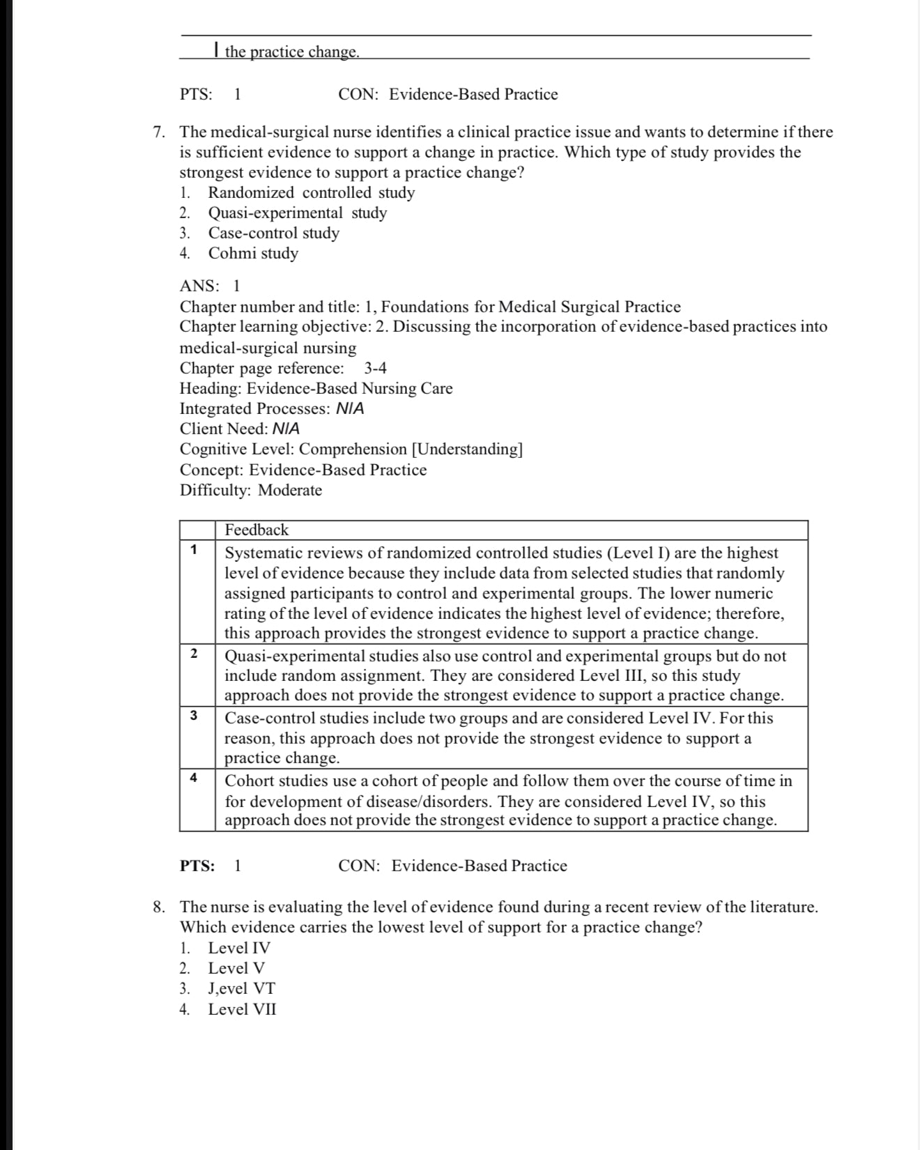
Exam Guide Bank
Test Bank Davis Advantage for Medical-Surgical Nursing: Making Connections to Practice, 3rd Edition by Janice J. Hoffman and Nancy J. Sullivan
Test Bank Davis Advantage for Medical-Surgical Nursing: Making Connections to Practice, 3rd Edition by Janice J. Hoffman and Nancy J. Sullivan
Instant Download
Couldn't load pickup availability
Instant Download
High-quality Resources
A+ Potential

Real Feedback From Real Exam Guide Bank Users
Balancing work and study always felt impossible for me. Once I started using Exam Guide Bank, everything changed. The practice questions are well-organized, cover all the key topics, and make learning faster. I walked into my exam feeling confident, and the results spoke for themselves.
What's Inside?
Comprehensive Chapter Coverage
Questions for every chapter of the textbook or subject area, ensuring no topic is left unexplored.
Diverse Question Types
Multiple-choice questions (MCQs), true/false, short answer, matching, and essay questions tailored to mirror real exams.
Verified Answers
100% accurate and verified solutions for all questions to boost confidence and understanding.
Unbeatable Online Prices!
Get comprehensive chapter coverage at prices you won’t find anywhere else. Our test banks are fully compliant and free from copyright restrictions.
Tailored for educators and students alike, these resources ensure accuracy and alignment with your curriculum, giving you the tools to excel and succeed!
Extensive Resources
Wide range for any subject
Expert Content
Crafted for accuracy and quality
Effortless Learning
Simplified for clarity
Affordable
Top-quality resources at low prices
Confidence Boost
Explanations and practice questions
Reliable Support
Help for all questions
Device Compatibility
Study on any device.
Instant Access
Download and start right away.
Regular Updates
Aligned with the latest editions.
Got Questions? We’ve Got You Covered!
How Soon Can I Access My Test Bank?
You will have immediate access to your test bank as soon as your payment is processed. Once the transaction is complete, you can instantly download your materials in PDF format.
No delays, no waiting—get started on your test preparation right away! 🚀
Are all chapters included, and are there questions for each chapter?
Yes, our comprehensive package includes test questions for every chapter, providing you with a thorough study resource.
Are These Materials Reliable and Accurate?
Absolutely! Our test bank materials are carefully curated and reviewed by experienced professionals to ensure the highest level of accuracy and reliability. Every question comes with 100% verified answers, so you can trust the content to support your learning and exam preparation.
Our commitment to quality ensures that you receive resources that meet the latest academic and testing standards.
Prepare with confidence—our materials are designed to help you succeed!
Are answers to the questions verified?
Yes, all answers provided in the Test Bank are thoroughly verified to ensure accuracy.
Can I Use These Documents on My Phone or Tablet?
Absolutely! The Test Bank is in PDF format, making it compatible with all devices and browsers for your convenience.
Whether you’re at home, on the go, or in a study session, our materials are designed for convenience and portability. 📱💻
-
Contact Us
Feel free to contact us if you have any other questions. We are here to help!
Support@ExamGuideBank.com