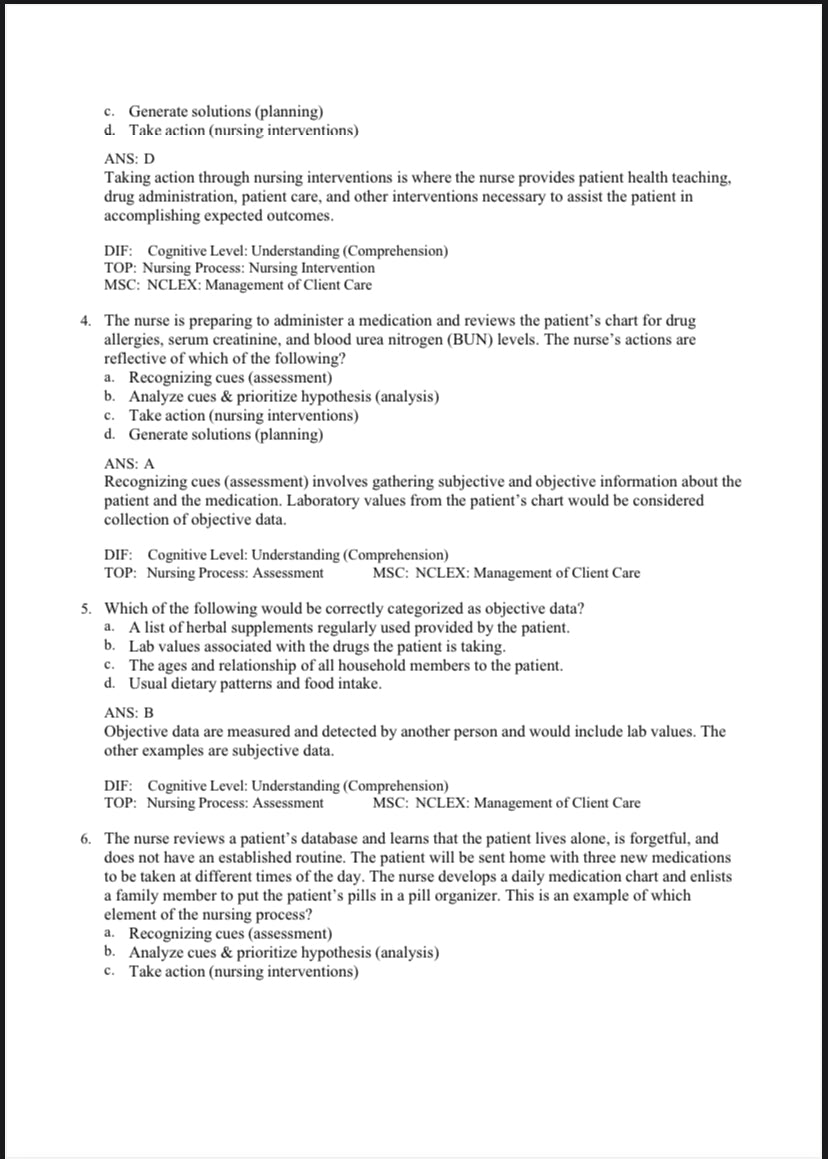
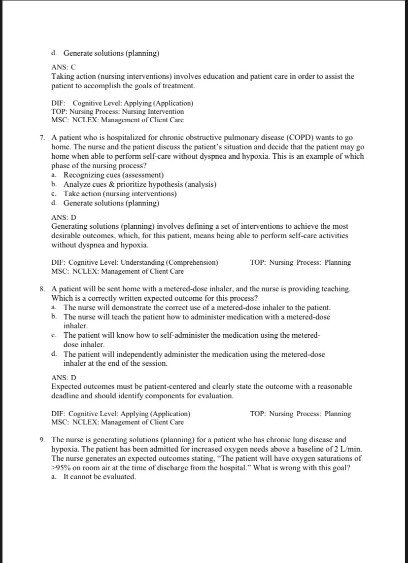
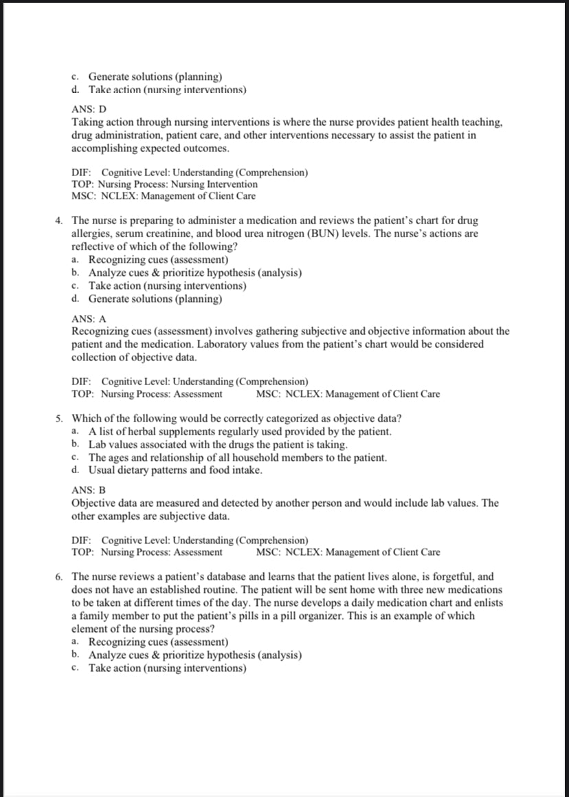
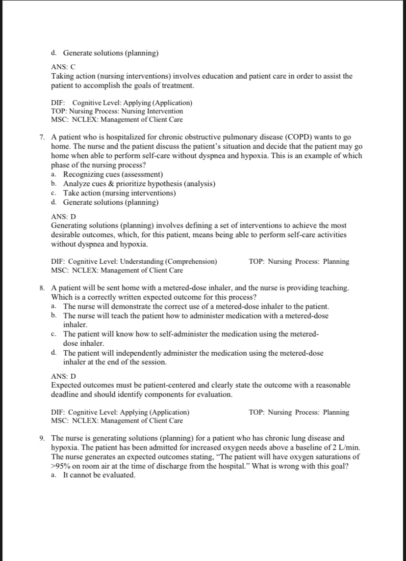
Exam Guide Bank
Test Bank Pharmacology A Patient-Centered Nursing Process Approach, 11th Edition by McCuistion
Test Bank Pharmacology A Patient-Centered Nursing Process Approach, 11th Edition by McCuistion
Instant Download
Couldn't load pickup availability
Instant Download
High-quality Resources
A+ Potential

Real Feedback From Real Exam Guide Bank Users
Balancing work and study always felt impossible for me. Once I started using Exam Guide Bank, everything changed. The practice questions are well-organized, cover all the key topics, and make learning faster. I walked into my exam feeling confident, and the results spoke for themselves.
What's Inside?
Comprehensive Chapter Coverage
Questions for every chapter of the textbook or subject area, ensuring no topic is left unexplored.
Diverse Question Types
Multiple-choice questions (MCQs), true/false, short answer, matching, and essay questions tailored to mirror real exams.
Verified Answers
100% accurate and verified solutions for all questions to boost confidence and understanding.
Unbeatable Online Prices!
Get comprehensive chapter coverage at prices you won’t find anywhere else. Our test banks are fully compliant and free from copyright restrictions.
Tailored for educators and students alike, these resources ensure accuracy and alignment with your curriculum, giving you the tools to excel and succeed!
Extensive Resources
Wide range for any subject
Expert Content
Crafted for accuracy and quality
Effortless Learning
Simplified for clarity
Affordable
Top-quality resources at low prices
Confidence Boost
Explanations and practice questions
Reliable Support
Help for all questions
Device Compatibility
Study on any device.
Instant Access
Download and start right away.
Regular Updates
Aligned with the latest editions.